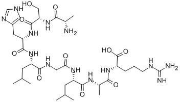
Pep03243 | C3a (70-77) | 63555-63-5
- 詳細(xì)描述
- 資料下載
|
貨號 |
Pep03243 |
|
名稱 |
C3a (70-77) |
|
中文其他名稱 |
|
|
英文其他名稱 |
C3A (70-77);ASHLGLAR;H-ALA-SER-HIS-LEU-GLY-LEU-ALA-ARG-OH;ALA-SER-HIS-LEU-GLY-LEU-ALA-ARG;ANAPHYLATOXIN C3A FRAGMENT 70-77;complement 3a (70-77);alanine-serine-histidine-leucine-glycine-leucine-alanine- |
|
CAS NO. |
63555-63-5 |
|
單字母序列 |
ASHLGLAR |
|
三字母序列 |
Ala-Ser-His-Leu-Gly-Leu-Ala-Arg | H-Ala-Ser-His-Leu-Gly-Leu-Ala-Arg-OH |





南京肽業(yè)生物科技有限公司
地址:
Email: info@njpeptide.com
總機(jī):025-58361106-801
