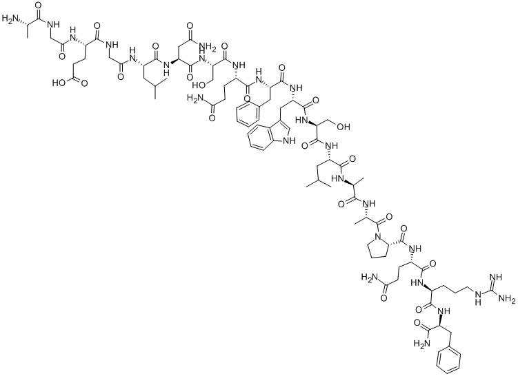
Pep03671 | Neuropeptide AF (human) | 192387-38-5
- 詳細(xì)描述
- 資料下載
|
貨號(hào) |
Pep03671 |
|
名稱 |
Neuropeptide AF (human) |
|
中文其他名稱 |
|
|
英文其他名稱 |
H-ALA-GLY-GLU-GLY-LEU-ASN-SER-GLN-PHE-TRP-SER-LEU-ALA-ALA-PRO-GLN-ARG-PHE-NH2;NEUROPEPTIDE AF (HUMAN);Neuropeptide AF (huMan) A-18-F-aMide (huMan), NPAF (huMan);A-18-F-aMide (huMan), NPAF (huMan) |
|
CAS NO. |
192387-38-5 |
|
單字母序列 |
AGEGLNSQFWSLAAPQRF-NH2 |
|
三字母序列 |
Ala-Gly-Glu-Gly-Leu-Asn-Ser-Gln-Phe-Trp-Ser-Leu-Ala-Ala-Pro-Gln-Arg-Phe-NH2 | H-Ala-Gly-Glu-Gly-Leu-Asn-Ser-Gln-Phe-Trp-Ser-Leu-Ala-Ala-Pro-Gln-Arg-Phe-NH2 |





南京肽業(yè)生物科技有限公司
地址:
Email: info@njpeptide.com
總機(jī):025-58361106-801
