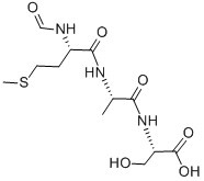
Pep11204 | For-Met-Ala-Ser-OH | 17351-32-5
- 詳細(xì)描述
- 資料下載
Pep11204 | For-Met-Ala-Ser-OH | 17351-32-5
|
貨號(hào) |
Pep11204 |
|
名稱 |
For-Met-Ala-Ser-OH |
|
英 文其他名稱 |
FOR-MET-ALA-SER;FOR-MET-ALA-SER-OH;N-FORMYL-MET-ALA-SER;REF DUPL: For-Met-Ala-Ser-OH |
|
CAS No. |
17351-32-5 |
|
單字母序列 |
For-MAS-OH |
|
三字母序列 |
For-Met-Ala-Ser | For-Met-Ala-Ser-OH |





南京肽業(yè)生物科技有限公司
地址:
Email: info@njpeptide.com
總機(jī):025-58361106-801
