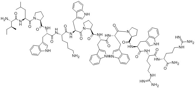
Pep10508 | Indolicidin | 140896-21-5
- 詳細(xì)描述
- 資料下載
Pep10508 | Indolicidin | 140896-21-5
|
貨號 |
Pep10508 |
|
名稱 |
Indolicidin |
|
英 文其他名稱 |
H-ILE-LEU-PRO-TRP-LYS-TRP-PRO-TRP-TRP-PRO-TRP-ARG-ARG-NH2;ILPWKWPWWPWRR-NH2;ILE-LEU-PRO-TRP-LYS-TRP-PRO-TRP-TRP-PRO-TRP-ARG-ARG-NH2;INDOLICIDIN;IndolicidinIndolicid;42: PN: US7381704 SEQID: 42 claimed sequence;L-ArgininaMide,L-isoleucyl-L-leucyl-L-prolyl-L-tryptophyl-L-lysyl-L-tryptophyl-L-prolyl-L-tryptophyl-L-tryptophyl-L-prolyl-L-tryptophyl-L-arginyl- |
|
CAS No. |
140896-21-5 |
|
單字母序列 |
ILPWKWPWWPWRR-NH2 |
|
三字母序列 |
Ile-Leu-Pro-Trp-Lys-Trp-Pro-Trp-Trp-Pro-Trp-Arg-Arg-NH2 | H-Ile-Leu-Pro-Trp-Lys-Trp-Pro-Trp-Trp-Pro-Trp-Arg-Arg-NH2 |





南京肽業(yè)生物科技有限公司
地址:
Email: info@njpeptide.com
總機(jī):025-58361106-801
