Pep03462 | u-Conotoxin GIIIB | 140678-12-2
- 詳細(xì)描述
- 資料下載
|
貨號 |
Pep03462 |
|
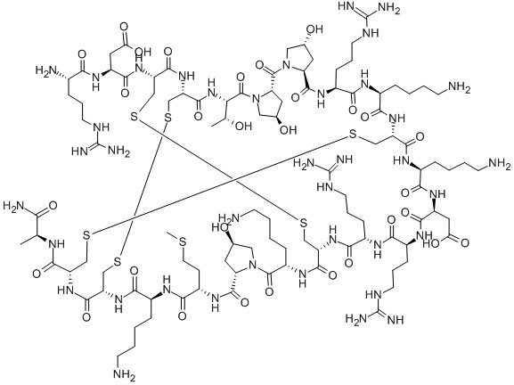
名稱 |
u-Conotoxin GIIIB |
|
中文其他名稱 |
|
|
英文其他名稱 |
MU-CONOTOXIN GIIIB;M-CONOTOXIN GIIIB;ARG-ASP-CYS-CYS-THR-HYP-HYP-ARG-LYS-CYS-LYS-ASP-ARG-ARG-CYS-LYS-HYP-MET-LYS-CYS-CYS-ALA-NH2;ARG-ASP-CYS-CYS-THR-HYP-HYP-ARG-LYS-CYS-LYS-ASP-ARG-GLN-CYS-LYS-HYP-GLN-ARG-CYS-CYS-ALA-NH2;H-ARG-ASP-CYS-CYS-THR-HYP-HYP-ARG-LYS-CYS-LYS-ASP-ARG-ARG-CYS-LYS-HYP-MET-LYS-CYS-CYS-ALA-NH2;GTXII;GEOGRAPHUTOXIN II;GEOGRAPHUTOXIN II (GTXII) |
|
CAS NO. |
140678-12-2 |
|
單字母序列 |
RDCCT-Hyp-Hyp-RKCKDRRCK-Hyp-MKCCA-NH2 |
|
三字母序列 |
Arg-Asp-Cys-Cys-Thr-Hyp-Hyp-Arg-Lys-Cys-Lys-Asp-Arg-Arg-Cys-Lys- Hyp-Met-Lys-Cys-Cys-Ala-NH2|H-Arg-Asp-Cys-Cys-Thr-Hyp-Hyp-Arg-Lys-Cys-Lys-Asp-Arg-Arg-Cys-Lys-Hyp-Met-Lys-Cys-Cys-Ala-NH2 |





南京肽業(yè)生物科技有限公司
地址:
Email: info@njpeptide.com
總機:025-58361106-801
