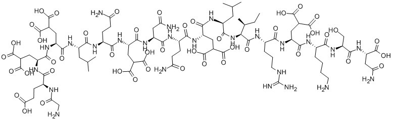
Pep03443 | Conantokin G (free acid) | 133628-78-1
- 詳細描述
- 資料下載
|
貨號 |
Pep03443 |
|
名稱 |
Conantokin G (free acid) |
|
中文其他名稱 |
|
|
英文其他名稱 |
GLY-GLU-GLA-GLA-LEU-GLN-GLA-ASN-GLN-GLA-LEU-ILE-ARG-GLA-LYS-SER-ASN;H-GLY-GLU-GLA-GLA-LEU-GLN-GLA-ASN-GLN-GLA-LEU-ILE-ARG-GLA-LYS-SER-ASN-OH;CONANTOKIN G;CONANTOKIN G FREE ACID;(asn-oh17)-conantokin-G |
|
CAS NO. |
133628-78-1 |
|
單字母序列 |
GE-Gla-Gla-LQ-Gla-NQ-Gla-LIR-Gla-KSN |
|
三字母序列 |
Gly-Glu-Gla-Gla-Leu-Gln-Gla-Asn-Gln-Gla-Leu-Ile-Arg-Gla-Lys-Ser-Asn |H-Gly-Glu-Gla-Gla-Leu-Gln-Gla-Asn-Gln-Gla-Leu-Ile-Arg-Gla-Lys-Ser-Asn-OH |





南京肽業(yè)生物科技有限公司
地址:
Email: info@njpeptide.com
總機:025-58361106-801
