Pep03244 | (β-Ala70)-C3a (70-77) | 105931-71-3
- 詳細(xì)描述
- 資料下載
|
貨號(hào) |
Pep03244 |
|
名稱 |
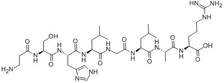
(β-Ala70)-C3a (70-77) |
|
中文其他名稱 |
|
|
英文其他名稱 |
(BETA-ALA70)-C3A (70-77);BETA-ALA-SER-HIS-LEU-GLY-LEU-ALA-ARG;H-BETA-ALA-SER-HIS-LEU-GLY-LEU-ALA-ARG-OH;(b-Ala70)-C3a (70-77);H-b-Ala-Ser-His-Leu-Gly-Leu-Ala-Arg-OH |
|
CAS NO. |
105931-71-3 |
|
單字母序列 |
β-ASHLGLAR |
|
三字母序列 |
β-Ala-Ser-His-Leu-Gly-Leu-Ala-Arg | H-β-Ala-Ser-His-Leu-Gly-Leu-Ala-Arg-OH |





南京肽業(yè)生物科技有限公司
地址:
Email: info@njpeptide.com
總機(jī):025-58361106-801
